- 7x24小时咨询热线
- 400-606-8608
发布时间:2025/09/30 08:58 来源:辰安智检(上海)科学仪器有限公司
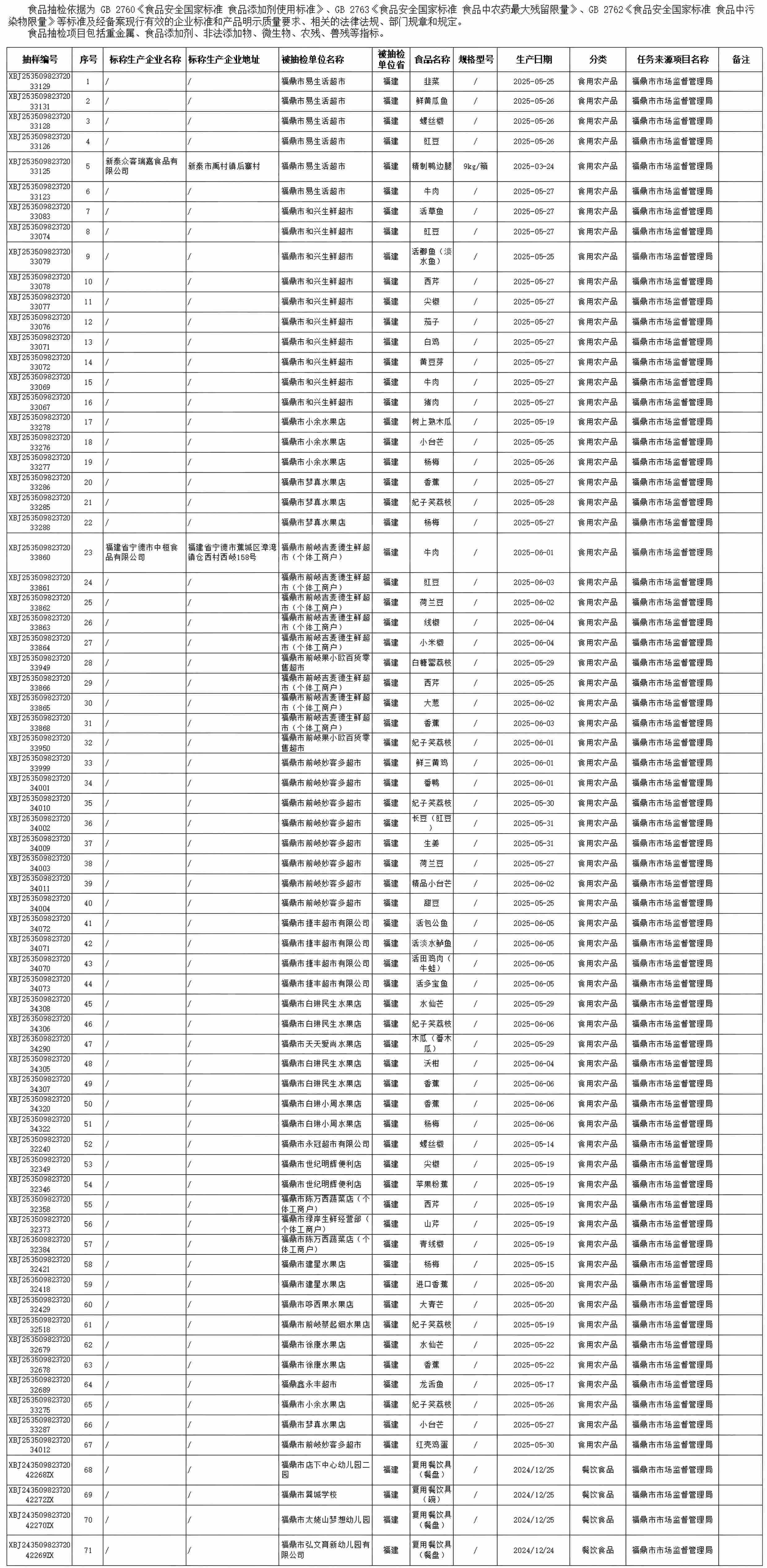
本次公告的监督抽检信息涉及食用农产品、餐饮食品两个食品大类,共75批次,其中71批次抽检结果合格,4批次抽检结果为不合格,不合格产品为:
1、小台芒(吡唑醚菌酯,检验结果为0.084mg/kg,标准值为≤0.05mg/kg)。
2、小台芒(噻虫胺,检验结果为0.094mg/kg,标准值为≤0.04mg/kg)。
3、白馒头(糖精钠(以糖精计),检验结果为0.0648mg/kg,标准值为不得使用;甜蜜素(以环己基氨基磺酸计),检验结果为0.381g/kg,标准值为不得使用)。
4、龙眼(二氧化硫残留量,检验结果为0.123mg/kg,标准值为≤0.05mg/kg)。
具体抽检明细请见附表。

福鼎市市场监督管理局要求所在地市场监管部门对不合格食品生产经营者进行调查处置,依法查处违法违规行为,督促生产经营者履行法定义务,防控食品安全风险。
本次福鼎市抽检发现的4批次不合格产品,精准揭示了当前食品安全风险的两大焦点:农药残留超标与违规使用食品添加剂。
要有效拦截这些问题食品流入市场,离不开精准、高效的检测技术。辰安智检(上海)科学仪器自主研发生产的农药残留检测仪能快速筛查出果蔬中超标的吡唑醚菌酯、噻虫胺等农药成分;辰安智检(上海)科学仪器自主研发生产的食品添加剂检测仪则可敏锐识别出馒头中违规添加的糖精钠、甜蜜素以及龙眼中超量的二氧化硫。它们如同给监管人员装上了“火眼金睛”,是实现源头把控、提升监管效能的坚实技术后盾。

如果你想了解更多定制款胶体金农药残留检测仪,请致电辰安智检(上海)科学仪器有限公司。联系电话: 13162117033 13127644428

公司地址:中国(上海)自由贸易试验区临港新片区环湖西二路888号C楼
联系电话:400-606-8608
13162117033
电子邮箱:caiencetec@163.com
Copyright © 2025 辰安智检(上海)科学仪器有限公司 版权所有 SITEMAP
沪ICP备2025137687号-1 技术支持:巧易网络
